- 全國統一銷售熱線:
- 北京總部:
- 010-64437473
- 上海:
- 021-62113795
- 深圳:
- 0755-86241216
高壓清洗機噴嘴直徑對射流收縮的影響
時間:2015-01-14 來源: 北京德高潔清潔設備有限公司
設計合理的一臺高壓清洗機,高壓泵所發送出來的高壓水應當完全從噴嘴里噴出來,形成高壓水射流對清洗靶物進行清洗或破碎工作。如果噴嘴設計不合理,就會造成相當大的水流在噴射系統中溢流回水箱,這就造成了很大能量的浪費。如果假定沒有溢流損失,那么在噴嘴出口處,由于水射流通過噴嘴出口處產生自然收縮,致使高壓泵流量不能完全從噴嘴流出所造成的能量損失,我們稱之為水射流收縮損失,下面主要說一下高壓清洗機噴嘴直徑對射流收縮的影響。

高壓清洗機噴嘴直徑對射流收縮的影響:
噴嘴的基本形狀如上圖,它由圓錐段 A 和圓柱段 B 組成。高壓水流經由圓錐段 A 進入圓柱段 B 之后獲得很高的加速度。出口處由于射流產生折射,其面積也由 變成小于
的
,即射流不能按照理論上計算的流量排出。故在噴嘴前后出現了能量損失或效率問題。
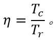
通常我們將噴嘴效率 η 值用噴嘴輸出能量
與輸入能量
的比值來表示,請見公式(1):
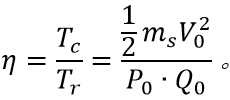
(1)式(1)可以改寫成:
(2)式(2)中,
—水射流的質量流量,kg/s;
將(2)式簡化后可得(3)式:
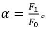
(3)式(3)中,K —液體特征常數;
α —流量收縮系數;
μ —射流速度系數。
流量收縮系數可由(4)式表示:
(4)
由上圖可見,隨著噴嘴直徑的增加,收縮系數開始呈下降趨勢,但當噴嘴直徑達到0.4 mm以后,α 值下降趨于平緩,當 α 值達到0.5 mm以后 α 值幾乎不再下降。即噴嘴直徑越大,收縮系數下降越微小,甚至可以忽略不計。
- 標簽:
- 噴嘴直徑對
- 射流收縮
- 高壓清洗機
高壓清洗機噴嘴參數計算—實驗法
2013-04-21
罐式集裝箱的清洗方式簡述
2017-04-27
高壓水射流技術的特性
2013-06-13
油管用高壓水射流清洗噴頭進給速度參數設
2014-01-24
高壓水射流凝汽器銅管刮削式清洗塞的設計
2014-01-03
高壓清洗機日常維護:噴嘴的磨損因素及更
2018-08-22
高壓水去毛刺機專用噴嘴介紹
2018-07-16
高壓水射流破碎混凝土的優點
2018-07-04
高壓清洗機在管道清洗時的注意事項
2018-06-28
高壓水射流清洗安全注意事項
2018-06-20



